Oproep tot kandidaten kerkfabriek Sint-Vincentius | Kerknet
Overslaan en naar de inhoud gaan

Recent bezocht

Bekijk je recent bezochte microsites, auteurs en thema's
kerknet
  • Hulp
  • Startpagina portaal
  • Mijn parochie
  • Aanmelden of registreren
Menu
  • Startpagina
  • Kerk
  • Vieringen
  • Shop
  • Zoeken

Parochie Heilige Lieven (Gent-Noord)

  • Startpagina
  • Contacten
  • Kerken & vieringen
  • Zoeken
  • Meer
    • Kerken & vieringen
    • Zoeken
    • Kalender maart 2026 Privacyverklaring van de parochie Heilige Lieven Parochiaal secretariaat Teksten Kerk&Leven parochie Heilige Lieven Abonnementen parochieblad Kerk&Leven Uw kind laten dopen? Aanvragen van een doopattest Informatie voor eerste communicanten en ouders Plechtige Communie en Vormsel 2026 Wat als jullie willen trouwen voor de Kerk? Komende uitvaarten Fotoreportages vieringen en evenementen 2022 Fotoreportages vieringen en evenementen 2023 Fotoreportages vieringen en evenementen 2024 Fotoreportages vieringen en evenementen 2025 Fotoreportages vieringen en evenementen 2026 De geschiedenis van Gent-Noord Diakonie op onze parochie Diaconiefonds H. Lieven De geloofsbelijdenis Een patroonheilige en een naam voor onze parochie Een kwart millennium confrerie Sint-Markoen De tien geboden Onze kerkpatronen Over de doop Bedevaarten bisdom Gent Respice finem
Deel op Facebook
Deel op Twitter
Deel via e-mail
Kalender maart 2026 Privacyverklaring van de parochie Heilige Lieven Parochiaal secretariaat Teksten Kerk&Leven parochie Heilige Lieven Abonnementen parochieblad Kerk&Leven Uw kind laten dopen? Aanvragen van een doopattest Informatie voor eerste communicanten en ouders Plechtige Communie en Vormsel 2026 Wat als jullie willen trouwen voor de Kerk? Komende uitvaarten Fotoreportages vieringen en evenementen 2022 Fotoreportages vieringen en evenementen 2023 Fotoreportages vieringen en evenementen 2024 Fotoreportages vieringen en evenementen 2025 Fotoreportages vieringen en evenementen 2026 De geschiedenis van Gent-Noord Diakonie op onze parochie Diaconiefonds H. Lieven De geloofsbelijdenis Een patroonheilige en een naam voor onze parochie Een kwart millennium confrerie Sint-Markoen De tien geboden Onze kerkpatronen Over de doop Bedevaarten bisdom Gent Respice finem

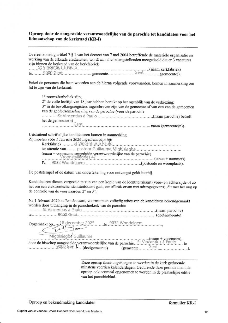
Oproep tot kandidaten kerkfabriek Sint-Vincentius

Laatste aanpassing op vrijdag 19 december 2025 - 15:52
Afdrukken

Oproep-Sivi.jpg

.

Lees meer

De spirituele dimensie in de zorg brandend houden © Freepik
readmore

Beroepsvereniging Zorgpastores

icon-icon-information
Cover van het boek Zeven kruiswoorden, verhalen uit de spirituele zorg © Otheo
Lees meer

Lanceringsavond boek Zeven kruiswoorden

icon-icon-evenement
Een gedeelde missie voor alle gedoopten
readmore

Gebedsintentie paus oktober 2024: voor een gedeelde missie

icon-icon-inspiratie

Recent bezocht

Bekijk je recent bezochte microsites, auteurs en thema's
© 2026 Kerk en Media vzw
Vacatures
Contact
Voorwaarden
YouTube
Twitter
Facebook